作者简介:柴有忠(1966—),男,浙江金华人,农艺师,学士,主要从事土壤肥料研究工作,E-mail: 460052168@qq.com。
对浙江省浦江县种植葡萄的156个行政村的350个采样点开展主要养分、土壤酸碱度、重金属含量等耕地质量指标监测,并对其养分现状和土壤环境质量进行评价。参照第二次全国土壤普查推荐的土壤肥力分级标准,在全氮含量方面,12.9%、57.1%和22.6%的样本分属于3、4、5级;在有效磷含量方面,43.1%、20.9%、23.4%的样本分属于4、5、6级;在速效钾含量方面,29.7%、30.3%、18.9%和20.6%的样本分属于3、4、5、6级;在土壤有机质方面,45.1%和43.4%的样本分属于3、4级。有56.3%的样本土壤pH≤5.5,27.1%的样本属于5.5<pH≤6.5的酸性土壤。当土壤pH≤7.5时,随土壤pH降低,土壤有效磷和速效钾含量降低。各土壤样本的砷、汞、铅、镉、铬含量都在农用地土壤污染风险管控风险值(GB 15618—2018)以下,但是,汞和镉的含量会随着土壤酸化程度的增加而升高。建议改善葡萄园土壤的酸化问题,加强土地培肥,增施磷钾肥,并针对性防范土壤酸化下可能产生的重金属毒害,因地制宜开展测土配方施肥以解决地力不均问题,进而保障葡萄的安全生产。
我国的土壤资源有限, 在耕地总面积中, 优质耕地只占1/3, 耕地质量普遍较差, 且土壤肥力严重不均衡[1]。提高土壤质量、发展精准农业对农业可持续发展来说至关重要。目前我国耕地数量基本稳定, 但农作物种植业结构发生了明显变化。其中, 粮食作物播种面积占农作物总种植面积的比例有所下降, 经济作物、蔬菜和果树等作物的种植面积比例有所增加[2]。浦江是浙江省名特优果品的重要产区, 位于浙江省金华市北部, 属金衢盆地丘陵地带。浦江盆地东部有出风口, 特殊的地理结构使得其昼夜温差大, 再加上浦阳江两岸为冲积砂壤土, 土地肥沃, 非常适宜葡萄的种植, 造就了浦江葡萄的独特品质[3]。据统计, 2017年浦江葡萄种植面积达到了4 400 hm2, 产量10.4万t, 产值达9.3亿元, 是浙江省内主要的葡萄种植基地, 其中, 巨峰葡萄面积占90%左右, 是“ 中国巨峰葡萄之乡” [4]。
张福庆等[5]以酿酒葡萄土壤为研究对象, 发现葡萄园土壤中氮和硼的养分含量均处在中等以下水平, 而其他养分元素的含量均较充足, 其中铁和锰的含量表现为极丰富。周敏等[6]对我国南方10个葡萄种植园进行多点采样, 发现南方葡萄园区土壤除部分严重缺钙、镁外, 其他养分元素含量均在适宜范围内。张志华[7]对湖北省恩施州关口葡萄种植地的研究发现, 当施肥模式以无机化肥为主、有机肥的施入不足时, 土壤板结严重, 并且导致土壤酸化。近年来, 关于葡萄园土壤养分和土壤环境质量状况的研究多有报道, 但是对葡萄园土壤养分空间分布、土壤环境质量和土壤酸化状况仍缺乏系统的研究, 葡萄园土壤酸化与主要养分和重金属含量的关系等也仍需进一步阐述。
本研究以浙江省浦江县156个行政村的主要葡萄产区为研究区域, 以其范围内的350个葡萄园土壤采样点为研究对象, 从土壤肥力、土壤环境质量和土壤酸碱度3方面进行评估分析, 并基于ArcGIS平台明确了浦江县葡萄园土壤养分空间分布, 研究结果可用于指导当地土壤的精准施肥管理, 以保证地块整体土壤肥力均衡, 降低农业肥料污染; 同时, 对于作物产量和品质的整体提高, 以及保证葡萄产区持续健康发展亦具有参考意义。
浦江县位于119° 42'~120° 07'E、29° 21'~29° 41'N, 行政区域面积920 km2, 辖7个镇5个乡3个街道, 包含409个行政村和20个社区。浦江属亚热带季风气候, 年平均气温16.6 ℃, 1月平均气温4.2 ℃, 8月平均气温33.7 ℃。年均降水量1 412.2 mm, 年均日照时数1 996.2 h, 年无霜期约238 d。
本研究选取浙江省浦江县主要葡萄种植区的350个土壤采样点作为研究对象, 其范围涵盖156个行政村。土壤样品采集时间为2018— 2019年, 采样中心点由差分GPS定位、记录, 并导入到ArcGIS 10.2中, 根据经纬度信息生成实际采样点分布图。每个采样点采用梅花形采样法采集5个子样, 充分混合为1个样品, 采样深度为0~40 cm。土壤样品自然风干, 去除样品中的植物组织根系、残渣和可见侵入体, 用玛瑙研钵研磨过100目尼龙筛[8]。土样分析测定所用的试剂、标准溶液配置, 以及仪器工作参数均遵循相关技术要求规范[9], 分析数据由浙江中煤检测有限公司提供。
土壤理化性质分析:土壤pH值采用电位法测定, 浸提液中水土质量体积比为2.5:1; 全氮(TN)含量采用凯式蒸馏— 容量法测定; 有效磷(AP)含量采用0.5 mol· L-1 NaHCO3浸提-钼锑抗比色法测定; 土壤有机质(OM)含量采用外加热重铬酸钾容重法测定; 速效钾(AK)含量采用1.0 mol· L-1 NH4OAc浸提— 火焰光度法测定; 砷(As)、汞(Hg)含量采用氢化物发生原子荧光光谱法(HG-AFS)测定; 铅(Pb)、铬(Cr)含量采用电感耦合等离子体发射光谱法(ICP-MS)测定; 镉(Cd)含量采用石墨炉原子吸收分光光度法测定。
参照第二次全国土壤普查推荐的土壤肥力分级标准, 将土壤有机质和主要养分含量各分为6个等级。
根据GB 15618— 2018《土壤环境质量农用地土壤污染风险管控标准(试行)》规定, 将所调查的土壤按照pH值分为4个等级:pH≤ 5.5的酸性土壤, pH> 5.5~6.5的酸性土壤, pH> 6.5~7.5的中性土壤和pH> 7.5的碱性土壤, 进而确定Pb、Hg、Pb、Cd、Cr的土壤污染风险筛选值。
利用Microsoft Excel 2013进行数据的处理和统计分析。将350个土壤采样点按照其土壤有机质和主要养分的含量各自分至1~6级, 并进一步遵循因素差异性、相似性、边界完整性的原则对取样点进行校正, 校正后涵盖244个密集采样点, 地理坐标范围为119° 55'~120° 02'E、29° 24'~29° 31'N, 进而利用ArcGIS 10.2的地统计分析(Geostatistical Analyst)功能, 采用空间Kriging插值法模块对浦江县密集葡萄种植区(对应于244个密集采样点)进行空间预测和误差验证, 通过区域统计工具得到土壤pH值、有机质和主要养分含量的空间分布图。
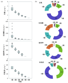
如表1所示, 浦江县葡萄园种植区土壤pH值平均值为5.54, 呈酸性, 全氮含量平均值为1 322 mg· kg-1, 有效磷含量平均值为46.2 mg· kg-1, 速效钾含量平均值为142 mg· kg-1, 有机质含量平均值为20.8 g· kg-1。但是, 不同地点的养分含量分布差异较大(图1)。土壤pH值的变幅在3.54~8.42, 全氮含量的变幅在301~3 117 mg· kg-1, 有效磷含量的变幅在2.5~416.4 mg· kg-1, 速效钾含量的变幅在47~284 mg· kg-1, 有机质含量的变幅在5.4~60.5 mg· kg-1。在土壤全氮含量方面, 大部分葡萄园分布在3、4、5级(分别占12.9%、57.1%和22.6%); 在土壤有效磷含量方面, 大部分葡萄园偏低, 分布在第4、5、6级(分别占43.1%、20.9%和23.4%); 在土壤速效钾含量方面, 大部分葡萄园分布在3、4、5、6级(分别占29.7%、30.3%、18.9%、20.6%); 在土壤有机质含量方面, 大部分葡萄园分布在3、4级(分别占45.1%和43.4%)。
| 表1 浦江县葡萄园土壤pH、主要养分和有机质含量分布特征 |
如表2所示, 土壤As含量的平均值为9.7 mg· kg-1, Hg含量的平均值为0.09 mg· kg-1, Pb含量的平均值为24.5 mg· kg-1, Cd含量的平均值为0.07 mg· kg-1, Cr含量的平均值为50.3 mg· kg-1。不同地点的土壤重金属含量分布差异较大, As在5.1~24.8 mg· kg-1, Hg在0.02~0.24 mg· kg-1, Pb在6.4~94.7 mg· kg-1, Cd在0.01~0.29 mg· kg-1, Cr在17.3~82.2 mg· kg-1, 对照GB 15618— 2018, 其值均低于风险管控筛选值。
| 表2 浦江县葡萄园土壤重金属含量分布特征 |
如图2所示, 有56.3%的葡萄园土壤pH≤ 5.5, 27.1%属于pH> 5.5~6.5的酸性土壤, 11.7%属于pH> 6.5~7.5的中性土壤, 4.8%属于pH> 7.5的碱性土壤。
2.3.1 土壤酸碱度与土壤肥力指标
如表3和图3所示, 当pH≤ 7.5时, 随着土壤酸性的增强, 其全氮含量有增加趋势, 但是土壤有效磷和速效钾含量却随着土壤酸性的增强而减少。当pH> 5.5~7.5时, 随着土壤酸性的增强, 土壤有质含量有减少的趋势, 但是当pH≤ 5.5时, 有机质含量较高。
| 表3 浦江县葡萄园种植区不同pH土壤条件下主要养分和有机质含量分布 |
2.3.2 土壤酸碱度与重金属含量
如表4所示, pH≤ 5.5的土壤中As的平均含量低于pH> 5.5的土壤, 而Cd正与此相反。在pH> 7.5的碱性土壤中, Pb的含量远高于pH≤ 7.5的中性和酸性土壤, 在pH> 6.5~7.5的中性土壤中, Hg的含量较低, 而在pH> 7.5和pH≤ 5.5的土壤中Hg含量最高。在pH> 5.5的土壤中Cr含量高于pH≤ 5.5的土壤。
| 表4 浦江县葡萄园不同土壤pH条件下的重金属含量分布 |
葡萄是浙江省的主要经济作物之一, 在经济利益的驱动下, 果农不断增加化学肥料的施用量, 而化肥施用过程中往往存在结构不合理的现象, 造成了肥料的浪费[10]。掌握葡萄园土壤养分和土壤环境的空间分布特征, 是葡萄园土壤管理精确投入、提高肥料利用率和葡萄产量, 改善葡萄品质的基础。
本研究表明, 浦江县葡萄主产区不同地点的养分含量分布和土壤酸碱度差异较大。依据第二次全国土壤普查推荐的土壤肥力分级标准, 在土壤有机质含量方面, 大部分分布在3、4级, 有机质含量有待提高。所有样本中, 56.3%属于pH≤ 5.5的酸性土壤, 27.1%属于pH> 5.5~6.5的酸性土壤, 说明土壤酸化严重。农田中氮肥的不合理施用常会导致土壤酸化[11, 12]。某项长达10 a的定位试验发现, 长期施用铵态氮或酰胺态氮肥会显著降低土壤的pH值[13]。葡萄作为多年生藤本植物, 连年重茬和酸沉降量的不断升高也是进一步加速其土壤酸化的原因之一[14, 15, 16, 17]。土壤酸化会导致土壤容重增加, 土壤板结, 孔隙少, 透气性差[18, 19], 进而影响根系对土壤中营养元素的吸收和利用。土壤酸化导致土壤中H+浓度增加, 且H+可与吸附在土壤胶体上的K+等盐基阳离子竞争根部的离子交换位, 从而导致这些养分盐基离子大量流失, 影响作物根系对养分的正常吸收[20]。本研究发现, 大部分葡萄园耕地土壤速效钾含量分布在3、4、5、6级, 并且当土壤pH≤ 7.5时, 速效钾含量随着土壤酸性的增加而降低, 表明该地区果园土壤的酸化可能是导致其速效钾含量较低的原因之一。酸性土壤中通常含有大量的Al3+、Mn2+和Fe2+, 它们易与土壤中的磷酸根离子反应, 生成难溶的磷酸盐; 因此, 土壤pH过低会加剧磷的固定, 从而使得土壤中磷元素的生物有效性严重下降[19, 21]。本研究发现, 大部分葡萄园的土壤有效磷含量分布在4、5、6级, 表明葡萄种植区有效磷整体处于较低水平, 并且当土壤pH≤ 7.5时, 有效磷含量随着土壤酸性的增加而降低, 说明土壤酸化可能是导致土壤有效磷含量降低的原因之一。土壤有效磷含量还与土壤中磷的代谢循环, 以及参与的土壤微生物活性有着密切的联系。土壤pH值下降可导致微生物活性下降, 从而影响各循环过程, 降低土壤供磷能力[22]。有研究发现, 果园种植年限越长, 土壤酸化程度越深, 土壤中的微生物活动强度大大下降[23]。罗敏[24]对江苏省茶园酸化状况进行研究发现, 随着土壤的酸化, 固氮细菌、氨化细菌、硝化细菌、磷转化细菌等有益微生物数量会大减, 或者活性下降, 不利于养分转化吸收。
“ 土十条” (《土壤污染防治行动计划》)对我国农田土壤污染防治工作提出了“ 预防为主、保护优先、风险管控” 的整体思路[25]。但是, 当前国内土壤重金属污染研究主要集中在污染源解析、矿区周边土壤污染特征分析、健康风险评价和修复技术等多个方面[26, 27], 对耕地, 尤其是葡萄园土壤的污染防治现状和应对策略等仍缺乏全面细致的认识。参照GB 15618— 2018, 浦江县葡萄园土壤中As、Pb、Hg、Cd、Cr含量均低于风险管控筛选值之下, 说明采样区土壤重金属状况整体良好。
在本研究发现, 当土壤pH≤ 7.5时, 土壤中Hg和Cd含量随着土壤酸性的增加而升高, 表明在土壤酸化的情况下, 土壤Hg和Cd的污染风险加大。这可能是因为土壤酸化增强了土壤中Hg和Cd的活性及其迁移和扩散能力, 并且减弱了土壤-植物系统的重金属迁移屏障, 因此, 加剧了Hg和Cd的危害风险[28]。Blake等[29]在英国洛桑试验站的研究指出, 强酸性土壤(pH 4)在100 a的时间里活化了60%~90%的土壤总Cd。Rö mkens等[30]对台湾土壤-水稻系统3 198个样品的重金属含量进行调查, 结果显示, 大部分Cd含量超标的稻米产自土壤Cd含量不高却严重酸化的区域。湖南某地的调查也显示, 在土壤pH< 5.5的菜地和水稻田中, 蔬菜和稻米Cd含量的超标率分别为7.8%和89.4%, 而在土壤pH> 6的菜地和水稻田中, 蔬菜和稻米Cd含量的超标率显著降低至1.3%和32%[31]。土壤生态系统中的一些盐基离子与重金属元素在农作物中的吸收和转运存在密切的消长关系[28]。长期不合理的耕作制度会造成农田土壤盐基离子大量流失, 从而增加农作物对重金属的累积风险[32]。Wang等[33]指出, 长江三角洲地区60.7%的农田Ca2+流失严重, 这些土壤中收获的小麦对Cd的累积量是富Ca2+土壤中收获的小麦对Cd累积量的2~3倍。因此, 尽管浦江葡萄耕地整体土壤重金属状况良好, 但是由于土壤酸化严重、化学肥料施用不平衡或不合理, 这些都加大了浦江葡萄园土壤重金属污染的风险。
本研究表明, 浦江县葡萄园土壤质量现状表现为:土壤养分含量不平衡, 空间分布不均匀, 土壤酸化严重, 有机质、有效磷和速效钾含量较低。虽然, 对照GB 15618— 2018, 当地土壤重金属含量尚未超标, 但土壤酸化导致土壤中Hg、Cd的污染风险较大。因此, 建议采取以下措施, 以提高土壤肥力, 减轻土壤酸化状况, 提升葡萄园土壤质量。
加强化肥减量增效关键技术应用。通过继续推广测土配方施肥技术, 优化氮磷钾肥比例, 大量、中微量元素肥相结合, 调整化肥使用结构, 推广缓/控释肥料、生物菌肥、水溶肥等新型肥料, 推广施用机械深施、水肥一体化、叶面喷施和地膜覆盖技术, 减少氮素淋洗, 提高肥料利用效率。
增施有机肥料。推进有机肥替代化肥, 通过秸秆还田、种植绿肥、增施有机肥等方式, 提高有机养分, 改善土壤条件。
土壤酸化防治。对果园土壤进行合理的酸化防治, 不仅可以防止土壤养分过快流失而降低养分的有效性, 而且可以提升土壤对重金属离子的缓冲能力, 从而降低重金属污染风险, 进而提升果实的安全性和品质。可推广从施用铵态氮向增施硝态氮肥料的转变, 增施钙镁磷肥, 施用土壤调理剂, 推广农作物秸秆还田和含有生物碳的新型肥料, 重建土壤元素平衡, 进而提升土壤酸化修复效率。
(责任编辑:高峻)
| [1] |
|
| [2] |
|
| [3] |
|
| [4] |
|
| [5] |
|
| [6] |
|
| [7] |
|
| [8] |
|
| [9] |
|
| [10] |
|
| [11] |
|
| [12] |
|
| [13] |
|
| [14] |
|
| [15] |
|
| [16] |
|
| [17] |
|
| [18] |
|
| [19] |
|
| [20] |
|
| [21] |
|
| [22] |
|
| [23] |
|
| [24] |
|
| [25] |
|
| [26] |
|
| [27] |
|
| [28] |
|
| [29] |
|
| [30] |
|
| [31] |
|
| [32] |
|
| [33] |
|

