
浙江农业科学 ›› 2025, Vol. 66 ›› Issue (12): 3086-3092.DOI: 10.16178/j.issn.0528-9017.20240909
赵婷蕾1,2(
), 邱永伟3,4, 周瑛2, 姚燕来1, 洪春来1, 朱为静1, 洪磊东1, 张涛1, 郭瑞1, 朱凤香1,*(
)
ZHAO Tinglei1,2(
), QIU Yongwei3,4, ZHOU Ying2, YAO Yanlai1, HONG Chunlai1, ZHU Weijing1, HONG Leidong1, ZHANG Tao1, GUO Rui1, ZHU Fengxiang1,*(
)
摘要:
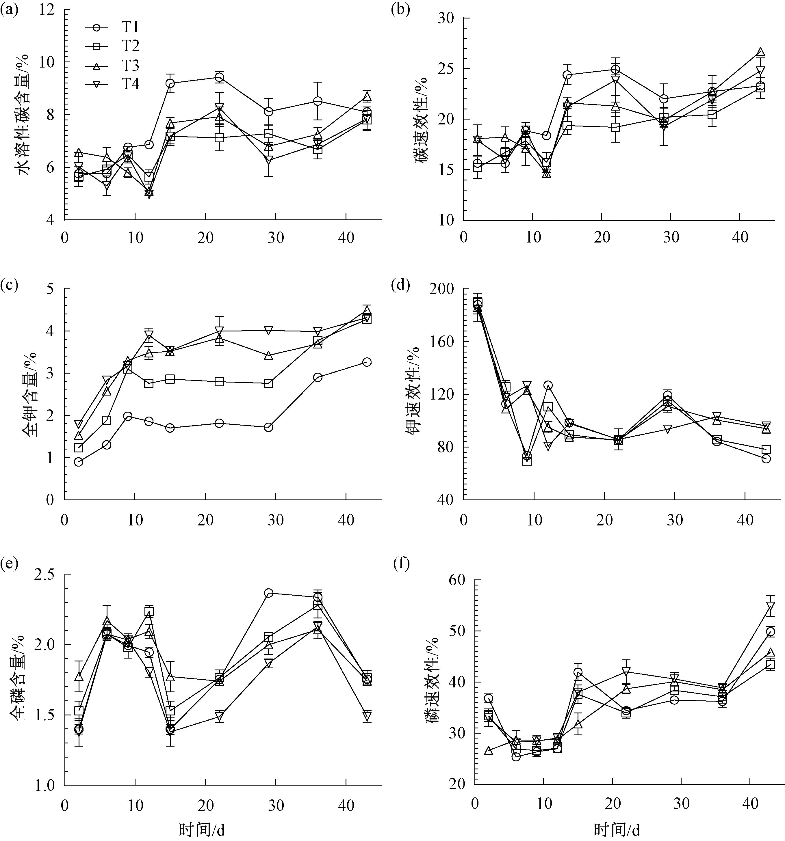
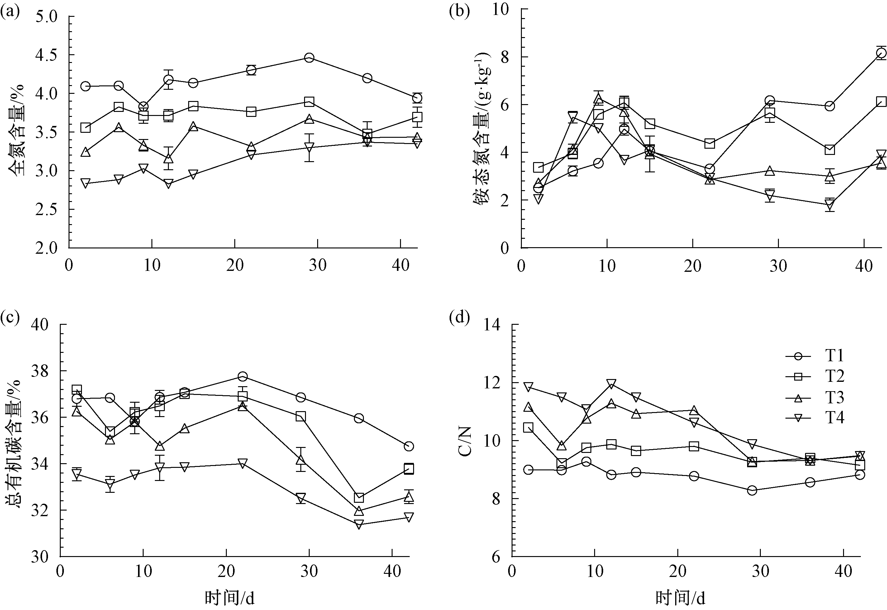
赤霉素发酵滤渣(GFRs)是赤霉素生产过程中产生的固体废物,有效利用这些废物具有显著的环境效益。本文以赤霉素发酵滤渣为原料,分别添加10%、20%、30%和40%的姜末作为辅料进行好氧堆肥,以探究最佳的姜末添加量。结果表明, 当添加30% 姜末作为辅料时, 发酵滤渣的好氧堆肥效果较好, 高温期持续时间较长且达到无害化标准。同时,堆肥结束时,该处理下的种子发芽指数最高,达到60%以上。此外,该处理下的全钾含量增加了2.97百分点,高温期内的水溶性碳含量降低了1.48百分点, 均有利于促进堆肥的腐熟。因此,本研究认为添加30%的姜末作为辅料更适合赤霉素发酵滤渣的好氧堆肥。结合赤霉素含量和种子发芽指数的变化情况,本研究建议可以适当延长堆肥时间以确保赤霉素完全降解,并使种子发芽指数达到NY/T525—2021《有机肥料》的要求。
中图分类号: