
浙江农业科学 ›› 2026, Vol. 67 ›› Issue (3): 704-708.DOI: 10.16178/j.issn.0528-9017.20250101
孟庆峰1(
), 岳增辉1, 朱丽梅1, 王淑霞1, 刘艳芝1(
), 张鑫2, 楚惠民1
MENG Qingfeng1(
), YUE Zenghui1, ZHU Limei1, WANG Shuxia1, LIU Yanzhi1(
), ZHANG Xin2, CHU Huimin1
摘要:
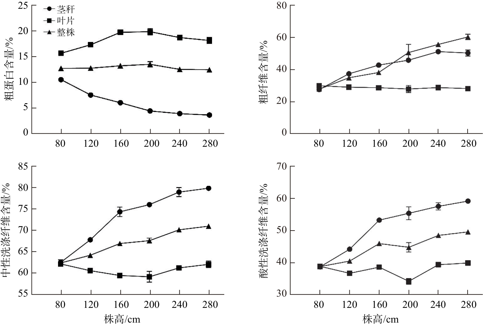
本研究以芦竹属多倍体品种绿洲1号为研究对象,通过田间试验系统分析其在鲁西南地区的生长特性、农艺性状及营养成分含量,探讨环境因子与栽培措施对其生长的影响。结果表明,绿洲1号在移栽90 d进入快速生长期,茎粗与株高呈极显著(p<0.01)正相关。分蘖新枝数受留茬高度和组培苗枝条数的显著(p <0.05)影响,留茬高度为100 cm时分蘖新枝数达26.6条,组培苗枝条数≥3时可显著提高分蘖新枝数。株高160~200 cm的整株粗蛋白含量(13.3%~13.6%)最高,整株粗纤维含量(38.3%~50.7%)处于可接受范围,建议此阶段收割以平衡产量与营养需求。本研究为鲁西南地区绿洲1号的科学种植、收割管理及生态经济协同发展提供理论依据。
中图分类号: