
浙江农业科学 ›› 2025, Vol. 66 ›› Issue (12): 2916-2922.DOI: 10.16178/j.issn.0528-9017.20240368
朱宏强1(
), 施锘2, 周艳宾1, 代惠娟1,*(
), 吕鹏辉1, 刘波1, 王圣丰1, 穆文坡1
收稿日期:2024-09-13
出版日期:2025-12-11
发布日期:2025-12-17
通讯作者:
代惠娟(1982—),女,河南郑州人,高级农艺师,主要从事基地单元建设、烟叶生产、科研项目管理及烟叶质量分析评价等工作,E-mail:daihuijuan2008@126.com。
作者简介:朱宏强(1978—),男,河北无极人,农艺师,主要从事烟草工程研究,E-mail:57090735@qq.com。
基金资助:
ZHU Hongqiang1(
), SHI Nuo2, ZHOU Yanbin1, DAI Huijuan1,*(
), LYU Penghui1, LIU Bo1, WANG Shengfeng1, MU Wenpo1
Received:2024-09-13
Online:2025-12-11
Published:2025-12-17
摘要:
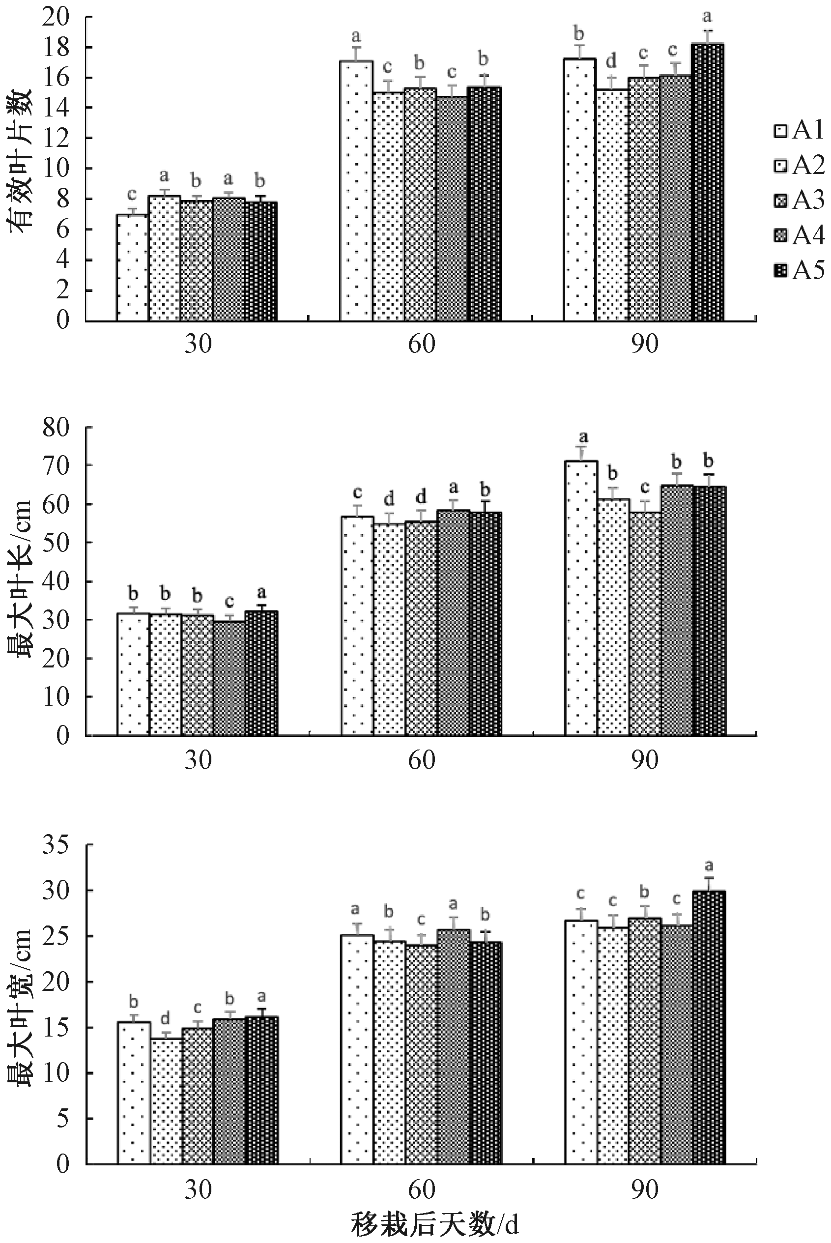
为探究不同有机肥施用量对烤烟生长发育、产量及品质的影响,以云烟87为试验材料,设置5个有机肥施用水平,分别为79.8(A1)、106.4(A2)、133.0(A3)、159.6(A4)和186.2(A5)g·株-1,测定各处理下烤烟的生育期、农艺性状、光合特性、土壤理化性质、烤后烟叶产质量及化学成分。结果表明,A4和A5处理可延长烤烟生育期,提高田间整齐度;A5处理的净光合速率、土壤全氮、速效钾和有机质含量均显著(p<0.05)高于其他处理,烤后烟叶产量最高,化学成分协调性最佳,感官评吸得分最高。综上,A5处理的有机肥施用量较为适宜,可在促进烟草生长发育的同时提升烤烟品质。
中图分类号:
朱宏强, 施锘, 周艳宾, 代惠娟, 吕鹏辉, 刘波, 王圣丰, 穆文坡. 有机肥施用量对云烟87产质量的影响[J]. 浙江农业科学, 2025, 66(12): 2916-2922.
ZHU Hongqiang, SHI Nuo, ZHOU Yanbin, DAI Huijuan, LYU Penghui, LIU Bo, WANG Shengfeng, MU Wenpo. Effects of organic fertilizer application rate on yield and quality of Yunyan 87[J]. Journal of Zhejiang Agricultural Sciences, 2025, 66(12): 2916-2922.
| 处理 | 移栽期 (月-日) | 团棵期 (月-日) | 现蕾期 (月-日) | 中心花 开放期 (月-日) | 脚叶 成熟期 (月-日) | 顶叶 成熟期 (月-日) |
|---|---|---|---|---|---|---|
| A1 | 04-25 | 06-05 | 06-27 | 07-04 | 07-12 | 08-02 |
| A2 | 04-25 | 06-05 | 06-27 | 07-04 | 07-12 | 08-02 |
| A3 | 04-25 | 06-04 | 06-27 | 07-04 | 07-12 | 08-02 |
| A4 | 04-25 | 06-04 | 06-26 | 07-03 | 07-13 | 08-03 |
| A5 | 04-25 | 06-04 | 06-26 | 07-03 | 07-13 | 08-03 |
表1 不同处理下云烟87的生育期
Table 1 Growth period of Yunyan 87 under different treatments
| 处理 | 移栽期 (月-日) | 团棵期 (月-日) | 现蕾期 (月-日) | 中心花 开放期 (月-日) | 脚叶 成熟期 (月-日) | 顶叶 成熟期 (月-日) |
|---|---|---|---|---|---|---|
| A1 | 04-25 | 06-05 | 06-27 | 07-04 | 07-12 | 08-02 |
| A2 | 04-25 | 06-05 | 06-27 | 07-04 | 07-12 | 08-02 |
| A3 | 04-25 | 06-04 | 06-27 | 07-04 | 07-12 | 08-02 |
| A4 | 04-25 | 06-04 | 06-26 | 07-03 | 07-13 | 08-03 |
| A5 | 04-25 | 06-04 | 06-26 | 07-03 | 07-13 | 08-03 |
| 处理 | 株形 | 叶形 | 叶色 | 田间 整齐度/% | 生长势 | ||
|---|---|---|---|---|---|---|---|
| 苗期 | 移栽后25 d | 移栽后50 d | |||||
| A1 | 筒形 | 长椭圆形 | 绿 | 80 | 长势良好 | 长势良好 | 长势良好 |
| A2 | 塔形 | 椭圆形 | 绿 | 90 | 长势良好 | 长势良好 | 长势良好 |
| A3 | 筒形 | 长椭圆形 | 绿 | 85 | 长势良好 | 长势良好 | 长势良好 |
| A4 | 筒形 | 椭圆形 | 绿 | 90 | 长势良好 | 长势良好 | 长势良好 |
| A5 | 筒形 | 椭圆形 | 绿 | 95 | 长势良好 | 长势良好 | 长势良好 |
表2 不同处理下云烟87的植物学性状
Table 2 Botanical traits of Yunyan 87 under different treatments
| 处理 | 株形 | 叶形 | 叶色 | 田间 整齐度/% | 生长势 | ||
|---|---|---|---|---|---|---|---|
| 苗期 | 移栽后25 d | 移栽后50 d | |||||
| A1 | 筒形 | 长椭圆形 | 绿 | 80 | 长势良好 | 长势良好 | 长势良好 |
| A2 | 塔形 | 椭圆形 | 绿 | 90 | 长势良好 | 长势良好 | 长势良好 |
| A3 | 筒形 | 长椭圆形 | 绿 | 85 | 长势良好 | 长势良好 | 长势良好 |
| A4 | 筒形 | 椭圆形 | 绿 | 90 | 长势良好 | 长势良好 | 长势良好 |
| A5 | 筒形 | 椭圆形 | 绿 | 95 | 长势良好 | 长势良好 | 长势良好 |
| 处理 | 花叶病 | 黑胫病 | 气候性斑点病 | |||
|---|---|---|---|---|---|---|
| 发病率/ % | 病情 指数 | 发病率/ % | 病情 指数 | 发病率/ % | 病情 指数 | |
| A1 | 5.39 | 4.04 | 1.56 | 1.17 | 0 | 0 |
| A2 | 2.22 | 1.77 | 4.44 | 3.33 | 0 | 0 |
| A3 | 2.81 | 2.10 | 2.86 | 2.14 | 0 | 0.37 |
| A4 | 3.33 | 2.66 | 0 | 0 | 0 | 0 |
| A5 | 1.90 | 1.42 | 2.42 | 1.81 | 0.69 | 0.51 |
表3 不同处理下云烟87的主要病害发生情况
Table 3 Occurrence of main diseases of Yunyan 87 under different treatments
| 处理 | 花叶病 | 黑胫病 | 气候性斑点病 | |||
|---|---|---|---|---|---|---|
| 发病率/ % | 病情 指数 | 发病率/ % | 病情 指数 | 发病率/ % | 病情 指数 | |
| A1 | 5.39 | 4.04 | 1.56 | 1.17 | 0 | 0 |
| A2 | 2.22 | 1.77 | 4.44 | 3.33 | 0 | 0 |
| A3 | 2.81 | 2.10 | 2.86 | 2.14 | 0 | 0.37 |
| A4 | 3.33 | 2.66 | 0 | 0 | 0 | 0 |
| A5 | 1.90 | 1.42 | 2.42 | 1.81 | 0.69 | 0.51 |
| 处理 | 净光合速率/ (μmol·m-2·s-1) | 气孔导度/ (mol·m-2·s-1) | 胞间CO2浓度/ (μmol·mol-1) | 蒸腾速率/ (mmol·m-2·s-1) | SPAD值 |
|---|---|---|---|---|---|
| A1 | 14.63 b | 0.27 a | 234.97 b | 2.00 a | 47.45 b |
| A2 | 13.76 c | 0.23 a | 250.33 a | 1.85 b | 46.65 b |
| A3 | 15.21 b | 0.25 a | 235.57 b | 1.63 c | 49.12 b |
| A4 | 13.76 c | 0.21 b | 238.77 b | 1.80 b | 51.12 a |
| A5 | 18.23 a | 0.24 a | 218.35 c | 1.94 a | 48.23 b |
表4 不同处理下云烟87的光合特征
Table 4 Photosynthetic characteristics of Yunyan 87 under different treatments
| 处理 | 净光合速率/ (μmol·m-2·s-1) | 气孔导度/ (mol·m-2·s-1) | 胞间CO2浓度/ (μmol·mol-1) | 蒸腾速率/ (mmol·m-2·s-1) | SPAD值 |
|---|---|---|---|---|---|
| A1 | 14.63 b | 0.27 a | 234.97 b | 2.00 a | 47.45 b |
| A2 | 13.76 c | 0.23 a | 250.33 a | 1.85 b | 46.65 b |
| A3 | 15.21 b | 0.25 a | 235.57 b | 1.63 c | 49.12 b |
| A4 | 13.76 c | 0.21 b | 238.77 b | 1.80 b | 51.12 a |
| A5 | 18.23 a | 0.24 a | 218.35 c | 1.94 a | 48.23 b |
| 处理 | 全氮含量/ (g·kg-1) | 速效钾含量/ (mg·kg-1) | 有效磷含量/ (mg·kg-1) | pH值 | 有机质含量/ (g·kg-1) |
|---|---|---|---|---|---|
| A1 | 1.52 d | 177.33 c | 58.36 a | 4.91 b | 41.32 c |
| A2 | 1.49 d | 171.42 c | 51.36 c | 5.21 a | 42.17 c |
| A3 | 1.57 c | 168.77 d | 55.31 b | 5.06 b | 50.14 b |
| A4 | 1.65 b | 198.11 b | 54.32 b | 5.12 b | 56.33 b |
| A5 | 1.98 a | 226.31 a | 59.11 a | 5.31 a | 69.12 a |
表5 不同处理下的土壤理化性质
Table 5 Soil physical and chemical properties under different treatments
| 处理 | 全氮含量/ (g·kg-1) | 速效钾含量/ (mg·kg-1) | 有效磷含量/ (mg·kg-1) | pH值 | 有机质含量/ (g·kg-1) |
|---|---|---|---|---|---|
| A1 | 1.52 d | 177.33 c | 58.36 a | 4.91 b | 41.32 c |
| A2 | 1.49 d | 171.42 c | 51.36 c | 5.21 a | 42.17 c |
| A3 | 1.57 c | 168.77 d | 55.31 b | 5.06 b | 50.14 b |
| A4 | 1.65 b | 198.11 b | 54.32 b | 5.12 b | 56.33 b |
| A5 | 1.98 a | 226.31 a | 59.11 a | 5.31 a | 69.12 a |
| 处理 | 产量/ (kg·hm-2) | 均价/ (元·kg-1) | 产值/ (元·hm-2) | 中上等烟 比例/% |
|---|---|---|---|---|
| A1 | 2 257.5 c | 22.1 c | 49 890.0 c | 75.6 c |
| A2 | 2 371.5 b | 23.1 b | 54 781.5 b | 76.8 b |
| A3 | 2 419.5 b | 23.8 a | 57 583.5 a | 82.1 a |
| A4 | 2 485.5 a | 23.1 b | 57 414.0 a | 80.2 a |
| A5 | 2 514.0 a | 24.3 a | 61 089.0 a | 82.9 a |
表6 不同处理下云烟87的经济性状
Table 6 Economic traits of Yunyan 87 under different treatments
| 处理 | 产量/ (kg·hm-2) | 均价/ (元·kg-1) | 产值/ (元·hm-2) | 中上等烟 比例/% |
|---|---|---|---|---|
| A1 | 2 257.5 c | 22.1 c | 49 890.0 c | 75.6 c |
| A2 | 2 371.5 b | 23.1 b | 54 781.5 b | 76.8 b |
| A3 | 2 419.5 b | 23.8 a | 57 583.5 a | 82.1 a |
| A4 | 2 485.5 a | 23.1 b | 57 414.0 a | 80.2 a |
| A5 | 2 514.0 a | 24.3 a | 61 089.0 a | 82.9 a |
| 处理 | 部位 | 成熟度 | 颜色 | 光泽 | 油分 | 叶片结构 | 叶片厚度 |
|---|---|---|---|---|---|---|---|
| A1 | 中部 | 成熟 | 橘黄 | 中 | 有 | 疏松 | 中等 |
| A2 | 中部 | 成熟 | 橘黄 | 中 | 有 | 尚疏松 | 稍薄 |
| A3 | 中部 | 成熟 | 橘黄 | 中 | 有 | 疏松 | 中等 |
| A4 | 中部 | 成熟 | 橘黄 | 强 | 多 | 疏松 | 中等 |
| A5 | 中部 | 成熟 | 橘黄 | 强 | 多 | 疏松 | 稍厚 |
表7 不同处理下云烟87的烤后烟叶外观质量
Table 7 Appearance quality of flue-cured tobacco leaves of Yunyan 87 under different treatments
| 处理 | 部位 | 成熟度 | 颜色 | 光泽 | 油分 | 叶片结构 | 叶片厚度 |
|---|---|---|---|---|---|---|---|
| A1 | 中部 | 成熟 | 橘黄 | 中 | 有 | 疏松 | 中等 |
| A2 | 中部 | 成熟 | 橘黄 | 中 | 有 | 尚疏松 | 稍薄 |
| A3 | 中部 | 成熟 | 橘黄 | 中 | 有 | 疏松 | 中等 |
| A4 | 中部 | 成熟 | 橘黄 | 强 | 多 | 疏松 | 中等 |
| A5 | 中部 | 成熟 | 橘黄 | 强 | 多 | 疏松 | 稍厚 |
| 处理 | 总糖 含量/% | 还原糖 含量/% | 总氮 含量/% | 烟碱 含量/% | 钾含量/ % | 氯含量/ % | 糖碱比 | 氮碱比 | 钾氯比 |
|---|---|---|---|---|---|---|---|---|---|
| A1 | 20.59 b | 11.89 b | 2.11 c | 1.18 c | 2.33 b | 0.24 a | 10.08 a | 1.79 b | 9.71 d |
| A2 | 20.59 b | 11.89 b | 2.11 c | 1.18 c | 3.39 a | 0.14 b | 10.08 a | 1.79 b | 24.21 a |
| A3 | 18.01 c | 11.62 b | 2.31 b | 1.24 b | 3.38 a | 0.23 a | 9.41 b | 1.87 a | 14.67 c |
| A4 | 19.97 b | 11.43 b | 2.03 d | 1.16 c | 3.45 a | 0.18 b | 9.89 b | 1.76 b | 19.14 b |
| A5 | 28.47 a | 18.99 a | 2.57 a | 2.15 a | 3.39 a | 0.14 b | 8.83 b | 1.20 c | 25.11 a |
表8 不同处理下云烟87的烤后烟叶化学成分含量
Table 8 Content of chemical components in flue-cured tobacco leaves of Yunyan 87 under different treatments
| 处理 | 总糖 含量/% | 还原糖 含量/% | 总氮 含量/% | 烟碱 含量/% | 钾含量/ % | 氯含量/ % | 糖碱比 | 氮碱比 | 钾氯比 |
|---|---|---|---|---|---|---|---|---|---|
| A1 | 20.59 b | 11.89 b | 2.11 c | 1.18 c | 2.33 b | 0.24 a | 10.08 a | 1.79 b | 9.71 d |
| A2 | 20.59 b | 11.89 b | 2.11 c | 1.18 c | 3.39 a | 0.14 b | 10.08 a | 1.79 b | 24.21 a |
| A3 | 18.01 c | 11.62 b | 2.31 b | 1.24 b | 3.38 a | 0.23 a | 9.41 b | 1.87 a | 14.67 c |
| A4 | 19.97 b | 11.43 b | 2.03 d | 1.16 c | 3.45 a | 0.18 b | 9.89 b | 1.76 b | 19.14 b |
| A5 | 28.47 a | 18.99 a | 2.57 a | 2.15 a | 3.39 a | 0.14 b | 8.83 b | 1.20 c | 25.11 a |
| 处理 | 香型 | 香气质 | 香气量 | 浓度 | 刺激性 | 杂气 | 劲头 | 余味 | 柔细度 | 甜度 | 总分 |
|---|---|---|---|---|---|---|---|---|---|---|---|
| A1 | 清甜蜜甜香型 | 7.83 a | 6.83 c | 7.67 a | 7.17 b | 7.67 a | 7.50 ab | 7.17 bc | 7.83 a | 7.33 ab | 67.00 b |
| A2 | 清甜蜜甜香型 | 8.00 a | 7.17 bc | 7.67 a | 7.33 b | 7.50 a | 7.00 c | 7.00 c | 8.00 a | 7.00 b | 66.67 b |
| A3 | 清甜蜜甜香型 | 7.00 b | 7.17 bc | 7.67 a | 7.17 b | 7.50 a | 7.33 bc | 7.17 bc | 7.50 a | 7.17 b | 65.67 b |
| A4 | 清甜蜜甜香型 | 8.00 a | 7.50 ab | 8.00 a | 7.83 a | 7.67 a | 7.67 ab | 7.50 ab | 8.00 a | 7.50 ab | 69.67 a |
| A5 | 清甜蜜甜香型 | 8.33 a | 7.83 a | 8.00 a | 8.00 a | 7.83 a | 7.83 a | 7.83 a | 7.83 a | 7.83 a | 71.33 a |
表9 不同处理下云烟87烤后烟叶的感官评吸质量
Table 9 Sensory smoking quality of Yunyan 87 flue-cured tobacco leaves under different treatments
| 处理 | 香型 | 香气质 | 香气量 | 浓度 | 刺激性 | 杂气 | 劲头 | 余味 | 柔细度 | 甜度 | 总分 |
|---|---|---|---|---|---|---|---|---|---|---|---|
| A1 | 清甜蜜甜香型 | 7.83 a | 6.83 c | 7.67 a | 7.17 b | 7.67 a | 7.50 ab | 7.17 bc | 7.83 a | 7.33 ab | 67.00 b |
| A2 | 清甜蜜甜香型 | 8.00 a | 7.17 bc | 7.67 a | 7.33 b | 7.50 a | 7.00 c | 7.00 c | 8.00 a | 7.00 b | 66.67 b |
| A3 | 清甜蜜甜香型 | 7.00 b | 7.17 bc | 7.67 a | 7.17 b | 7.50 a | 7.33 bc | 7.17 bc | 7.50 a | 7.17 b | 65.67 b |
| A4 | 清甜蜜甜香型 | 8.00 a | 7.50 ab | 8.00 a | 7.83 a | 7.67 a | 7.67 ab | 7.50 ab | 8.00 a | 7.50 ab | 69.67 a |
| A5 | 清甜蜜甜香型 | 8.33 a | 7.83 a | 8.00 a | 8.00 a | 7.83 a | 7.83 a | 7.83 a | 7.83 a | 7.83 a | 71.33 a |
| [1] | 谭军, 郭芳军, 孙兆旭, 等. 不同施氮量对烤烟产量和质量的影响[J]. 江西农业学报, 2008, 20(11): 24-26. |
| [2] | 李昕一. 强化有机肥料应用促进农业发展[J]. 新农业, 2022(23): 89. |
| [3] | 肖飞, 王东飞, 王伟, 等. 增施生物有机肥对云烟87生长发育与产质量的影响[J]. 贵州农业科学, 2022, 50(12): 44-52. |
| [4] | 李洪勋. 有机肥与烤烟生产关系的研究进展[J]. 中国土壤与肥料, 2007(1): 5-8, 12. |
| [5] | 唐莉娜, 张秋芳, 刘波, 等. 有机肥与化肥配施对烤烟土壤微生物群落PLFAs动态的影响[J]. 中国农学通报, 2008, 24(12): 260-265. |
| [6] | 孔旭, 陈玉萌, 赵志远, 等. 生草覆盖下有机无机肥配施对苹果园土壤磷形态分布的影响[J]. 水土保持学报, 2023, 37(2): 3306-342. |
| [7] | 汪忠坪, 李钠钾, 汪代斌, 等. 有机无机配施对巫溪县植烟土壤碳库的影响[J]. 西南农业学报, 2023, 36(2): 3606-373. |
| [8] | CUI H, LIU Q J, ZHANG H Y, et al. Long-term manure fertilization increases rill erosion resistance by improving soil aggregation and polyvalent cations[J]. CATENA, 2023, 223: 106909. |
| [9] | 吕大树, 吕红灵, 王玉平, 等. 不同类型烟草有机肥料成分的差异分析[J]. 江西农业学报, 2013, 25(9): 53-56. |
| [10] | 郝浩浩, 李亚飞, 张翔, 等. 有机替代部分无机氮肥对烟草生长发育及产质量的影响[J]. 安徽农业科学, 2021, 49(12): 172-175. |
| [11] | 高梓峰. 不同肥料用量组合对烤烟生理特性及内在品质的影响[D]. 延吉: 延边大学, 2022. |
| [12] | 杨洋, 惠非琼, 胡世龙, 等. 有机肥与化肥配施对福建三明烤烟生长及烟叶产质量的影响[J]. 湖北农业科学, 2019, 58(9): 75-79. |
| [13] | 张长华, 蒋卫, 蒋玉梅, 等. 施肥对烤烟产量、品质及土壤养分、酶活性的影响[J]. 中国土壤与肥料, 2012(3): 77-80. |
| [14] | 国家烟草专卖局.烟草农艺性状调查测量方法: YC/T 142—2010[S]. 北京: 中国标准出版社, 2010. |
| [15] | 国家质量监督检验检疫总局, 中国国家标准化管理委员会.烟草病虫害分级及调查方法: GB/T 23222—2008[S]. 北京: 中国标准出版社, 2009. |
| [16] | 国家烟草专卖局.烟草及烟草制品水溶性糖的测定连续流动法: YC/T 159—2019[S]. 北京: 中国标准出版社, 2019. |
| [17] | 国家烟草专卖局.烟草及烟草制品总氮的测定连续流动法: YC/T 161—2002[S]. 北京: 中国标准出版社, 2004. |
| [18] | 国家烟草专卖局.烟草及烟草制品总植物碱的测定连续流动法: YC/T 160—2002[S]. 北京: 中国标准出版社, 2004. |
| [19] | 国家烟草专卖局.卷烟纸中钾、钠、钙、镁的测定火焰原子吸收光谱法: YC/T 274—2008[S]. 北京: 煤炭工业出版社, 2009. |
| [20] | 国家烟草专卖局.烟草及烟草制品氯的测定连续流动法: YC/T 162—2011[S]. 北京: 中国标准出版社, 2011. |
| [21] | 陈雨, 李佛琳, 陈太福, 等. 马龙烟区烤烟烟叶主要化学成分的变化分析[J]. 山东农业科学, 2017, 49(2): 706-80. |
| [22] | 张永安, 马彩娟, 刘立博, 等. 烤烟外观质量数字化方法与感官质量相关性分析[J]. 农学学报, 2020, 10(4): 48-52. |
| [23] | 钟曙英, 卢彬荣, 傅林, 等. 定制有机肥施用量对龙岩烤烟生长和产质量的影响[J]. 江西农业学报, 2022, 34(10): 82-87. |
| [24] | 刘丽辉, 杨盼盼, 田俊岭, 等. 施用生物有机肥对烟草产量和品质的影响[J]. 广东农业科学, 2019, 46(11): 69-77. |
| [25] | 陈玉国, 李小杰, 王海涛, 等. 烟田有机肥配施对烤烟抗病性和品质的影响[J]. 河南农业科学, 2015, 44(6): 38-42. |
| [26] | 刘峰, 石孝均, 杨超, 等. 有机无机氮肥配施对山地烤烟生长、抗病性及香吃味的影响[J]. 中国农学通报, 2010, 26(16): 187-190. |
| [27] | 王通明, 陈伟, 潘文杰, 等. 有机肥和化肥对烟叶气体交换、叶绿素荧光特性及叶绿体超微结构的影响[J]. 植物营养与肥料学报, 2015, 21(2): 517-526. |
| [28] | 张正杨, 郭山虎, 张锦韬, 等. 生物有机类肥料对‘云烟87’生长发育及烟叶产质量的影响[J]. 农学学报, 2022, 12(9): 47-53. |
| [29] | 杨民烽, 丁希梅, 谢冰, 等. 不同有机肥用量对烤烟产量及质量的影响[J]. 现代农业科技, 2017(17): 23-24, 26. |
| [30] | 常剑波, 祁春苗, 李致新. 微生物有机肥对烤后烟叶化学成分和致香物质含量的影响试验[J]. 现代农业科技, 2011(2): 60-61. |
| [1] | 张书豪, 王玉洁, 何冰, 杜荆山, 葛梦龙, 王慧, 和梦颖, 焦念元, 高佳凯, 王艳芳, 邓旭先, 刘领. 施氮水平和间作甘薯对烤烟生长、光合特性及氮代谢酶活性的影响[J]. 浙江农业科学, 2025, 66(9): 2117-2125. |
| [2] | 裘云峰, 陈钰佩, 单英杰, 陆若辉. 浙江省柑橘施肥现状与对策建议[J]. 浙江农业科学, 2025, 66(9): 2176-2180. |
| [3] | 申洪涛, 毕姗, 鄂志莹, 朱富国, 张宪光, 胡海天, 江昌玉, 陈宇, 王艳芳, 刘领. 不同贮存方式对醇化后片烟化学成分和质量的影响[J]. 浙江农业科学, 2025, 66(9): 2243-2247. |
| [4] | 李辉, 林继彤, 邵祺, 娄燕宏, 王会, 杨全刚, 潘红, 诸葛玉平. 不同施肥模式对土壤磷酸酶及其功能基因影响的研究进展[J]. 浙江农业科学, 2025, 66(8): 2032-2038. |
| [5] | 金成舟, 金智勇, 洪庆红. 不同施肥处理对甘蔗地径流氮磷的影响[J]. 浙江农业科学, 2025, 66(7): 1607-1611. |
| [6] | 李友杰, 陈梓涵, 杜佳梅, 陈夏妮, 张悦, 杨奇煜, 李子璇, 赵明星, 张宪翠, 李鹏, 周巍, 张玉良, 胡丽华, 吴酬飞. 生物有机肥联合菌剂施用对新垦水田土壤碳组分、酶活性及碳过程的影响[J]. 浙江农业科学, 2025, 66(6): 1501-1505. |
| [7] | 王薇薇, 吴永成, 梅燚, 尤春, 祖艳侠, 沈峰, 刘哲, 张丽娜, 冯汝超, 郑佳秋. 有机肥替代化肥对辣椒产量及土壤性质的影响[J]. 浙江农业科学, 2025, 66(5): 1062-1065. |
| [8] | 金磊, 张驰, 邵小东, 杜军, 田晶晶, 刘宇. 基于无人机载多光谱的烤烟叶片氮含量评估[J]. 浙江农业科学, 2025, 66(5): 1158-1162. |
| [9] | 杨德海, 马骏洁, 彭小祠, 赵伟金, 谢益燕, 杨艳, 冯灿湖, 彭仁, 黄伟, 薛波, 王彦楠, 欧阳铖人. 不同打顶措施对大理烟区K326产量和质量的影响[J]. 浙江农业科学, 2025, 66(5): 1163-1166. |
| [10] | 杨秋平, 陆丽华, 惠武彬, 姜光明, 许俊伟, 朱瑞鼎, 魏心燕, 施林林. 太湖流域典型农区施肥强度组成特征及影响因素——以苏州太湖生态岛为例[J]. 浙江农业科学, 2025, 66(5): 1277-1281. |
| [11] | 蔡达明, 鲁鑫, 李鹏昊, 王卫平, 周治国, 洪春来. 易腐垃圾有机肥施用对水稻生长及土壤理化性质的影响[J]. 浙江农业科学, 2025, 66(3): 566-571. |
| [12] | 马良, 金新梅, 张卫兴, 方云峰. 生物质炭与有机肥配施对土壤性质和水稻生长的影响[J]. 浙江农业科学, 2025, 66(3): 580-584. |
| [13] | 童文彬, 郑则华, 杨海峻, 李荣会, 叶正钱. 畜禽有机肥与化肥配施条件下橘园土壤细菌群落分布与氮代谢的剖面分析[J]. 浙江农业科学, 2025, 66(3): 760-768. |
| [14] | 牛天新, 查燕, 马华升, 熊伟, 黄雨晴. 新垦丘陵山地不同施肥处理对甘薯土壤大型动物多样性的影响研究[J]. 浙江农业科学, 2025, 66(2): 502-506. |
| [15] | 李倩, 张翔, 李亮, 司贤宗, 索炎炎, 程培军, 李洪亮, 李建华, 宋正熊. 肥料增效剂对土壤养分、烤烟农艺性状和经济性状的影响[J]. 浙江农业科学, 2025, 66(12): 2910-2915. |
| 阅读次数 | ||||||
|
全文 |
|
|||||
|
摘要 |
|
|||||