
浙江农业科学 ›› 2026, Vol. 67 ›› Issue (2): 463-469.DOI: 10.16178/j.issn.0528-9017.20240876
崔宏春1(
), 师大亮1, 叶敏1, 白培贤1, 赵芸1, 张建勇2(
)
CUI Hongchun1(
), SHI Daliang1, YE Min1, BAI Peixian1, ZHAO Yun1, ZHANG Jianyong2(
)
摘要:
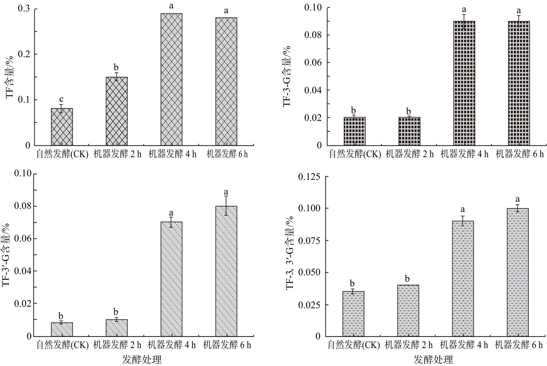
九曲红梅茶独特的风味品质,离不开加工技术和工艺的不断创新。为探明不同发酵程度对九曲红梅茶风味品质的影响,本文比较了自然发酵工艺、机器发酵2 h工艺(轻发酵)、机器发酵4 h工艺(中发酵)、机器发酵6 h工艺(重发酵)等4种不同发酵程度的加工工艺制得的九曲红梅茶的感官品质和风味化学物质含量。结果表明,“发酵4 h、发酵温度29 ℃,相对湿度95%”的中等发酵工艺下制得的九曲红梅茶的感官品质较好,茶汤橙黄稍深、滋味较甜醇、香气较浓醇、带甜香,轻发酵工艺和重发酵工艺的九曲红梅茶品质次之。与自然发酵工艺相比,机器发酵工艺加工的九曲红梅茶的茶多酚含量显著(p<0.05)降低,氨基酸、水浸出物、茶黄素(TF)、茶黄素-3-没食子酸酯(TF-3-G)、茶黄素-3′-没食子酸酯(TF-3′-G)、茶黄素-3,3′-没食子酸酯(TF-3,3′-G)的含量显著提高。此外,中发酵工艺加工的九曲红梅茶的茶多酚含量显著低于轻发酵工艺,TF、TF-3-G、TF-3′-G、TF-3,3′-G的含量显著高于轻发酵工艺,而茶黄素类物质的含量与重发酵工艺无显著差异。综上,采用“发酵4 h、发酵温度29 ℃,相对湿度95%”的中等发酵工艺,可以显著改善九曲红梅茶的风味品质,试验结果为九曲红梅茶的品质调控提供了理论依据。
中图分类号: